О службе
Деятельность
Документы
Госслужба
Пресс-служба
Госуслуги
Открытая служба
Электронная таможня
Таможенная статистика
Контакты
О службе
Деятельность
Документы
Госслужба
Пресс-служба
Госуслуги
Открытая служба
Электронная таможня
Таможенная статистика
Контакты
Федеральная таможенная служба
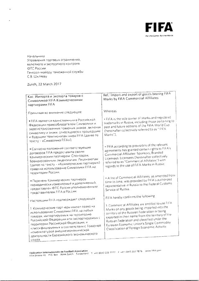
ПИСЬМО ФТС РФ от 07.04.2017 N 14-40/17541
"О НАПРАВЛЕНИИ ИНФОРМАЦИИ"
Показать страниц:
1
10
100
Скачать:
pdf
«
Первая
‹
Предыдущая
1
2
3
›
Следующая
»
Последняя
Страница
2
из
3
«
Первая
‹
Предыдущая
1
2
3
›
Следующая
»
Последняя