О службе
Деятельность
Документы
Госслужба
Пресс-служба
Госуслуги
Открытая служба
Электронная таможня
Таможенная статистика
Контакты
О службе
Деятельность
Документы
Госслужба
Пресс-служба
Госуслуги
Открытая служба
Электронная таможня
Таможенная статистика
Контакты
Федеральная таможенная служба
ПРИКАЗ Минприроды РФ от 22.11.2021 N 877
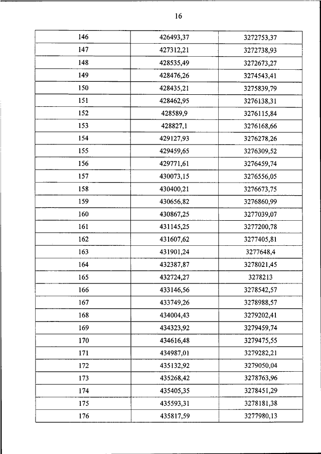
"ОБ УТВЕРЖДЕНИИ ПОЛОЖЕНИЯ О ГОСУДАРСТВЕННОМ ПРИРОДНОМ БИОСФЕРНОМ ЗАПОВЕДНИКЕ "ДАУРСКИЙ"
(Зарегистрировано в Минюсте РФ 12.05.2022 N 68458)
Показать страниц:
1
10
100
Скачать:
pdf
«
Первая
‹
Предыдущая
24
25
26
27
28
›
Следующая
»
Последняя
Страница
26
из
50
«
Первая
‹
Предыдущая
24
25
26
27
28
›
Следующая
»
Последняя