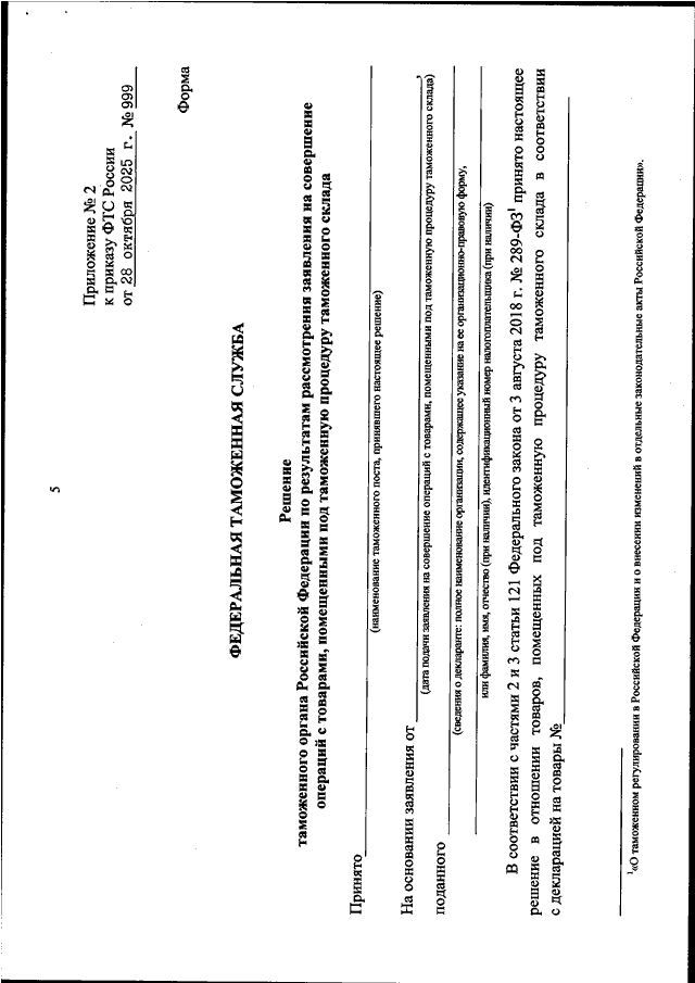
ПРИКАЗ ФТС РФ от 28.10.2025 N 999
"ОБ УТВЕРЖДЕНИИ ФОРМЫ ЗАЯВЛЕНИЯ НА СОВЕРШЕНИЕ ОПЕРАЦИЙ С ТОВАРАМИ, ПОМЕЩЕННЫМИ ПОД ТАМОЖЕННУЮ ПРОЦЕДУРУ ТАМОЖЕННОГО СКЛАДА, И ФОРМЫ РЕШЕНИЯ ТАМОЖЕННОГО ОРГАНА РОССИЙСКОЙ ФЕДЕРАЦИИ ПО РЕЗУЛЬТАТАМ РАССМОТРЕНИЯ УКАЗАННОГО ЗАЯВЛЕНИЯ"
(Зарегистрировано в Минюсте РФ 05.12.2025 N 84471)

Скачать:
Страница 5 из 6