О службе
Деятельность
Документы
Госслужба
Пресс-служба
Госуслуги
Открытая служба
Электронная таможня
Таможенная статистика
Контакты
О службе
Деятельность
Документы
Госслужба
Пресс-служба
Госуслуги
Открытая служба
Электронная таможня
Таможенная статистика
Контакты
Федеральная таможенная служба
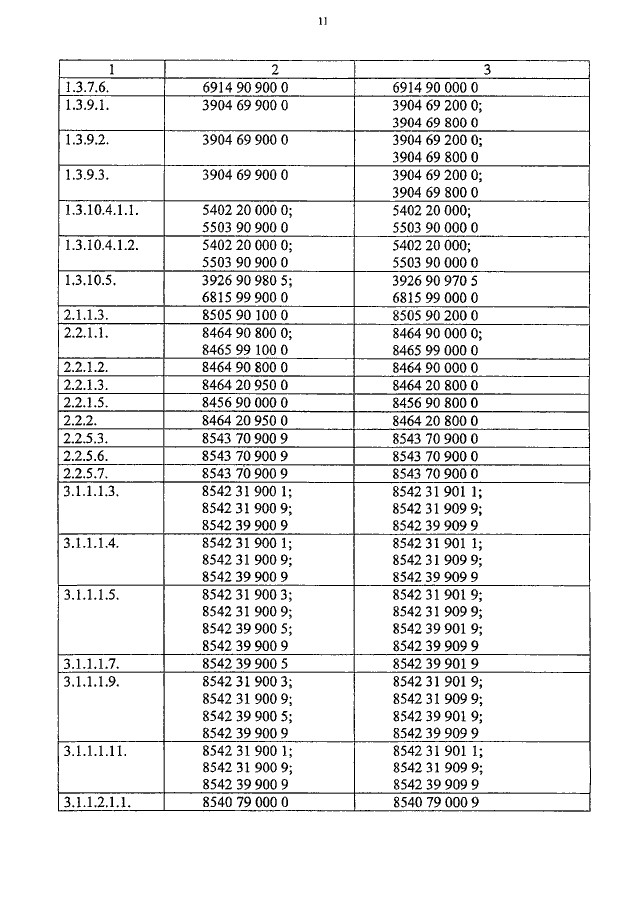
ПРИКАЗ ФТС РФ от 18.01.2012 N 63
"О ВНЕСЕНИИ ИЗМЕНЕНИЙ В ПРИЛОЖЕНИЯ К ПРИКАЗАМ ГТК (ФТС) РОССИИ"
Показать страниц:
1
10
100
Скачать:
pdf
«
Первая
‹
Предыдущая
9
10
11
12
13
›
Следующая
»
Последняя
Страница
11
из
15
«
Первая
‹
Предыдущая
9
10
11
12
13
›
Следующая
»
Последняя