О службе
Деятельность
Документы
Госслужба
Пресс-служба
Госуслуги
Открытая служба
Электронная таможня
Таможенная статистика
Контакты
О службе
Деятельность
Документы
Госслужба
Пресс-служба
Госуслуги
Открытая служба
Электронная таможня
Таможенная статистика
Контакты
Федеральная таможенная служба
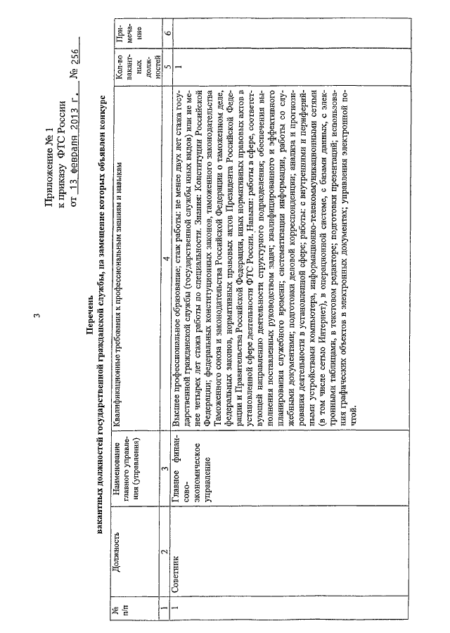
ПРИКАЗ ФТС РФ от 13.02.2013 N 256
"ОБ ОБЪЯВЛЕНИИ КОНКУРСА НА ЗАМЕЩЕНИЕ ВАКАНТНЫХ ДОЛЖНОСТЕЙ ГОСУДАРСТВЕННОЙ ГРАЖДАНСКОЙ СЛУЖБЫ В ЦЕНТРАЛЬНОМ АППАРАТЕ ФТС РОССИИ"
Показать страниц:
1
10
100
Скачать:
pdf
«
Первая
‹
Предыдущая
1
2
3
4
5
›
Следующая
»
Последняя
Страница
3
из
23
«
Первая
‹
Предыдущая
1
2
3
4
5
›
Следующая
»
Последняя