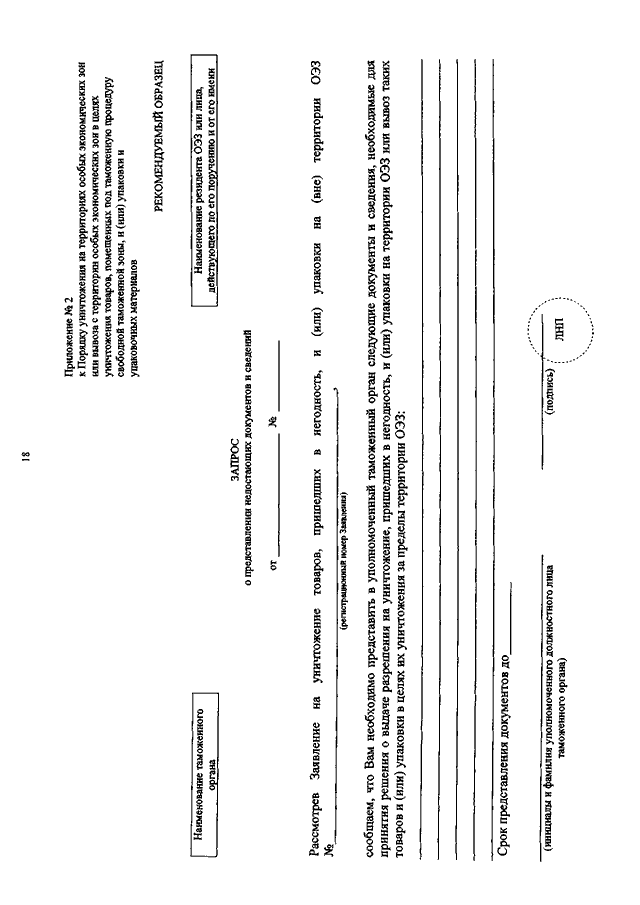
ПРИКАЗ ФТС РФ от 11.02.2013 N 228
"ОБ УТВЕРЖДЕНИИ ПОРЯДКА УНИЧТОЖЕНИЯ НА ТЕРРИТОРИЯХ ОСОБЫХ ЭКОНОМИЧЕСКИХ ЗОН ИЛИ ВЫВОЗА С ТЕРРИТОРИЙ ОСОБЫХ ЭКОНОМИЧЕСКИХ ЗОН В ЦЕЛЯХ УНИЧТОЖЕНИЯ ТОВАРОВ, ПОМЕЩЕННЫХ ПОД ТАМОЖЕННУЮ ПРОЦЕДУРУ СВОБОДНОЙ ТАМОЖЕННОЙ ЗОНЫ, И (ИЛИ) УПАКОВКИ И УПАКОВОЧНЫХ МАТЕРИАЛОВ"
(Зарегистрировано в Минюсте РФ 05.06.2013 N 28680)

Скачать:
Страница 18 из 25