О службе
Деятельность
Документы
Госслужба
Пресс-служба
Госуслуги
Открытая служба
Электронная таможня
Таможенная статистика
Контакты
О службе
Деятельность
Документы
Госслужба
Пресс-служба
Госуслуги
Открытая служба
Электронная таможня
Таможенная статистика
Контакты
Федеральная таможенная служба
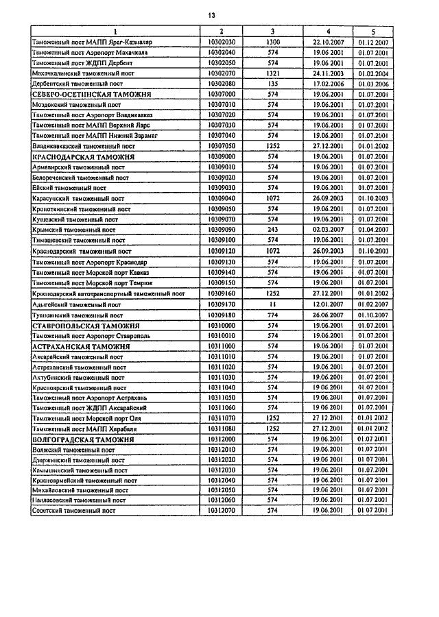
ПИСЬМО ФТС РФ от 17.03.2008 N 04-18/9740
"О КОДАХ ТАМОЖЕННЫХ ОРГАНОВ И ИХ СТРУКТУРНЫХ ПОДРАЗДЕЛЕНИЙ"
Показать страниц:
1
10
100
Скачать:
pdf
«
Первая
‹
Предыдущая
12
13
14
15
16
›
Следующая
»
Последняя
Страница
14
из
25
«
Первая
‹
Предыдущая
12
13
14
15
16
›
Следующая
»
Последняя